History of the WGSS Program
Program History
The Women’s, Gender and Sexuality Studies Program at the University of North Carolina at Greensboro is one of the oldest across the country.
Since 1972, the Women’s, Gender and Sexuality Studies faculty has been dedicated to continuing UNCG’s historical concern with the lives of women and with the roles they play in society.

Timeline of UNCG’s Women’s, Gender, and Sexuality Studies Program History
This timeline offers a condensed overview of the foundational history of the Women’s, Gender, and Sexuality Studies Program (WGSS) at the University of North Carolina Greensboro through archival research and images.
Jump to the timeline now!
The graphic to the left appears on a variety WGSS materials from the 1970s to the late 1990s.
With UNCG’s history as a school for the higher education of North Carolina women, its community support from alumna of the Woman’s College, its racially and culturally diverse student body, and its energetic faculty, the university offers an ideal environment for Women’s, Gender and Sexuality Studies.
Since 1972, the Women’s, Gender and Sexuality Studies faculty has been dedicated to continuing UNCG’s historical concern with the lives of women and with the roles they play in society. The Women’s, Gender and Sexuality Studies Program now offers an undergraduate major and minor, a graduate certificate, and an MA degree. The program encompasses more than 30 courses with a part-time director, an associate professor, an assistant professor, 35 cross-appointed faculty, and over 75 faculty affiliates from 17 departments. Faculty members affiliated with the program are housed in departments and professional schools throughout the university, making Women’s, Gender and Sexuality Studies the most well-established interdisciplinary program in the university.
UNCG began its institutional life as a college for women in 1891–the first state sponsored school for the higher education of women in North Carolina. It became coeducational in 1963 when laws were amended to authorize admission of both men and women at all levels of instruction on all North Carolina State University campuses. Renamed the University of North Carolina at Greensboro, the campus became a doctoral degree granting institution and today has more than 18,600 students and 2,500 faculty and staff. UNCG is the largest state university in the Piedmont Triad and has an annual economic impact of more than $1 billion. The campus has grown to include 24 residence halls and 30 academic buildings on 210 acres.
Interested in supporting the future of The Women’s, Gender,
and Sexuality Studies Program at UNC Greensboro? Donate Online today!
Why we need your help
This is a time when intersectional feminist analysis and organizing is more vital than ever. The WGSS Program is teaching our students how to understand and grapple with contemporary realities while seeking to imagine and work toward possibilities for justice – as messy and complex as that process is. We provide necessary tools for understanding the relations among forms of oppression and for seeking to combat them.
We have been doing this work for almost half a century, and your help will enable us to continue and extend our efforts in these difficult times.

What your contribution will support
- Increased teaching by cross-appointed faculty
- New course creation
- Research and travel grants for students and faculty
- Assistantship funding to increase our MA program’s competitiveness
- Events for prospective and current WGSS students and faculty
Real-World Impact
“I plan to be a labor organizer when I graduate from UNCG. WGS was my first real introduction into critical analyses of oppression and liberation…WGS helped me to understand the most complex intricacies of the world around us, all through the scope of wanting to change it.”
-Dhruv Pathak, double major in WGS and History
“WGS has been instrumental in my personal, professional, and academic development. It has given me deep analytical skills, access to an array of disciplines, and it has empowered me not to simply welcome diversity, but to work intentionally towards understanding people who are different from me. WGS has completely changed the way I look at the world, for the better.”
-Taylor Chapman, graduated with a B.A. in WGS and English

Timeline of UNCG’s Women’s, Gender, and Sexuality Studies Program History
This timeline offers a condensed overview of the foundational history of the Women’s, Gender, and Sexuality Studies Program (WGSS) at the University of North Carolina Greensboro through archival research and images.
This graphic appears on a variety WGSS materials from the 1970s to the late 1990s.

Founding
In 1891 The University of North Carolina Greensboro (UNCG) was founded as a women’s college and in 1956 UNCG began admitting women of color. There would not be a woman’s studies or gender related program on campus until the early 1970s.
Pictured: Group photo of students outside McIver Cottage,1894.

A Co-Ed Campus
In 1963, through an act of the General Assembly, UNCG became a coeducational campus, and the first male students arrived on campus in 1964. Out of the concern that the Woman’s College was losing its identity and in the wake of the feminist movement expanding nationally, Women’s Studies (WMS) started to demand itself be taken seriously as a legitimate academic field across the country. At UNCG, several female faculty members saw an opportunity to strengthen the presence of women and gender studies in the curriculum and on campus.
Pictured: Original proposal for creation of the Women’s Studies Program at UNCG, March 1973.

Committee on Women’s Studies
During the 1971-1972 school year, an Ad Hoc Committee on Women’s Studies was appointed by the Chancellor. Two courses at UNCG were determined as viable WMS courses, “Women in Politics” and “Women in Literature.” After this research, an exploratory course was created to test the interest of Women’s Studies on campus and was offered in the Fall semester of 1972.
Pictured: Press release announcing the beginning of a Women’s Studies Program on UNCG’s campus, June 1974.

Women’s Studies Program Established
In the spring of 1973 the Women’s Studies Program was established and housed in the College of Arts and Sciences. By 1974 a student could earn an undergraduate degree in Interdepartmental Studies with a certificate in Women’s Studies and in 1975 the minor in Women’s Studies was added. Shortly after, two Women’s Studies specific courses were created, “Introduction to Women’s Studies” and “Topic Seminar in Women’s Studies.”
Pictured: Original syllabus for the course, “The Changing Role of the American Women,” January 1973.

Evolution of Curriculum
Beginning in the 1980s, a university-wide evaluation of the general education curriculum began. The WMS Program was heavily involved with the process, as the curriculum changes would hopefully include more of a focus on women and women’s scholarship.
Pictured: WMS Poster, Summer 1980.

the Women’s Resource CEnter is Created
Between 1981 – 1985 the WMS Program started and ran the Women’s Resource Center (WRC) on UNCG’s campus. The WRC was created because of alumnae concerns that the implementation of coeducation was having a negative effect on the ability of female students and faculty to gain leadership experience on campus and in the greater community.
Pictured: Newspaper clipping from The Greensboro News and Record reporting on unfair pay discrepancies between women and male faculty at UNCG, June 1980.

Program evaluation
During the 1986-1987 school year an Ad Hoc Advisory Committee for Women’s Programs examined the status of the Program in hopes to better understand the support needed for women and gender studies on campus. The report noted that Programs such as WMS, African American Studies, and International Studies, were central to diversifying the university-wide changes in the curriculum.
Pictured: Choices and Changes: Financial Outlook For The Professional Woman, Event flyer, March 1987.

A Growing Program
By 1989 WMS was given their own office space in the Foust Building. The budget was reconsidered and WMS received funds for secretarial assistance, computers, and graduate student workers. Beginning in 1989 conversations also began on the proposal of a WMS major.
Pictured: Ecofeminist Salon, Event Flyer, 1990.

Friends of WMS Founded; Major + Minor Established
The early 1990s is when the “Friends of WMS” at UNCG was founded and began working more closely with the department to secure financial and academic resources. In 1990, the proposal for a WMS major was submitted for consideration to Undergraduate Studies. In March of 1990, the Committee on Undergraduate Studies approved the major. An undergrad minor was quickly added by 1991.
Group photograph from an early Friends of Women’s Studies event, 1991.
Pictured L to R: Linda Carlisle (Friend), Marry Kitt Dunn (Friend), Jacquelyn White (faculty), Linda Hiatt (Friend), Muriel Ibanet (Friend), Mary Ellis Gibson (faculty), Jody Natalle (faculty), Sally Cone (Friend)

Dr. Katherine Mille Hired as Director
In the 1992-1993 school year, the WMS Program hired its first full-time director, Dr. Katherine W. Mille. In 1993 WMS received one of its larger gifts to date in honor of the longtime supporter and Friend of the program, Sally Cone.
Pictured: Article discussing Dr. Katherine W. Mille’s arrival at UNCG as the first full-time Program director, Spring 1993.

WMS Expands
In 1996-1997, the WMS Program received funding from the Dean’s office to supplement the director’s salary, hire a research graduate assistant for the director, and to pay for two part-time associate directors. WMS officially became a free-standing major in the Summer of 1997 and later that year the WMS Program hired its first tenured, full-time director, Dr. Jacquelyn White.
Pictured: Article by Dr. Katherine W. Mille discussing the need for women’s studies programs, March 1997.

Program Name Changed to Women’s and Gender Studies
In 2002, the Program changed its name from Women’s Studies to Women’s and Gender Studies (WGS) to better reflect the way in which the content of the program had evolved and to keep in practice with how the discipline was changing. Supporters of the Program worked to secure more faculty as WGS grew in order to present a more comprehensive and cogent curriculum at the graduate and undergraduate levels.
Pictured: Program revision sheet submitted by Dr. Mary Ellis Gibson requesting that the Program’s named be changed from “Women’s Studies” to “Women’s and Gender Studies,” November 2002.

MA Degree Created
In 2005 The Board of Governors at UNCG gave WGS approval to start making plans for an MA degree. The Program was approved later that same year and supported by a grant from The CGS/Ford Foundation. In 2006, WGS brought on Dr. Danielle Bouchard as an assistant professor, who would later become the Program’s first tenured professor in 2012. In 2009 WGS hired Dr. Sarah Carvenek as a jointly appointed professor with African American and African Diaspora Studies.
Pictured: Women’s Real Lives, Event Flyer, Spring 2002.

Program support Expands
In 2013 the Program conducted an annual review and external review that resulted in the upgrade of the Director position from 50% to 100%. In 2014 the WGS Program received a gift from longtime supporter and UNCG alumna Claudia Kadis, from which the Program established an endowed lectureship position.
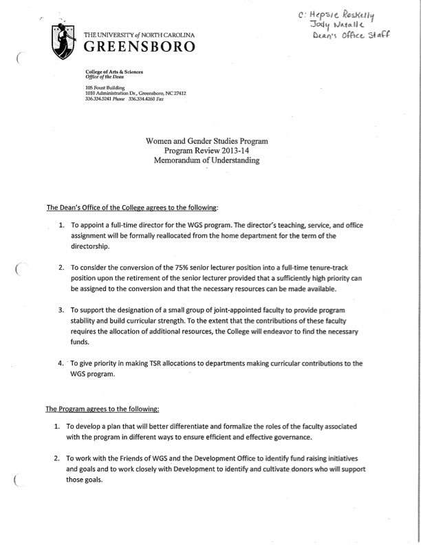
Pictured: Program Review Memorandum of Understanding, 2013 – 2014.

Addition of Sexuality Studies to curriculum and Program name
In 2019 faculty voted unanimously to change the Program’s name from Women’s and Gender Studies to Women’s, Gender, and Sexuality Studies. The name change reflected the shifting focus of the curriculum toward greater consideration of Queer Theory and LGBT studies, the faculty’s areas of research interest, general trends in women’s and gender studies programs, and the changing interests and passions of the students.
Pictured: Queer Kinship: A Roundtable, Event Flyer, Fall 2021.

Formal name change & 50th Anniversary
In the Fall of 2020 the WGS Program name was formally changed to Women’s, Gender, and Sexuality Studies (WGSS). In October of 2022, to coincide with the 50th anniversary celebration of the Program, WGSS received a donation from longtime supporter and alumna Claudia Kadis to create a second distinguished professorship.
Pictured: Photograph from the 50th anniversary celebration of WGSS Program UNCG.

WGSS Club & Lounge
In 2022, WGSS started a WGSS Club for undergraduates and opened a student lounge on the 3rd floor of the Curry building, which included a gender-affirming closet and a zine collection. The lounge also displayed student artwork.
Pictured: WGSS Club collage meeting flyer, October 2022.

Martha Blakeney Hodges Special Collections
To review the Women’s and Gender Studies Program Records in the Martha Blakeney Hodges Special Collections and University Archives Repository, in person appointments can be made with an archivist at Jackson Library on UNCG’s campus.
Check it out here!